The December 16 Nazareth Borough Municipal Authority meeting was well attended, with an audience filled as in November by Plainfield Township residents. At the November meeting, Chairman Kornos read a statement prior to public comment that appeared to be designed to ameliorate concerns of those in the audience. However, discrepancies between this statement and comments made later in the meeting by Board members and NBMA Plant Manager Dean Minnich resulted in the inescapable conclusion that making the statement was a strategic mistake.
Undaunted, but not understanding his audience, Chairman Fornos ventured into similar territory at the December meeting. He announced that the Authority was working with Ryan Shaw of the County Farmland Preservation Board, and Jim Clauser of the County Conservation District, with the goal to craft a Conservation Plan that incorporates biosolids application for the Hower Farm. Perhaps Mr. Fornos is unaware that Mr. Clauser is not qualified to draft conservation plans. The Conservation District is in fact supposed to have someone on staff capable of drafting and reviewing conservation plans, but they do not. Mr. Shaw may not have informed Mr. Fornos that at the December Farmland Preservation Board meeting, Mr. Shaw's boss Maria Bentzoni stated that NBMA's planned use of biosolids on preserved farmland will be "destructive to" the program.
Chairman Fornos, in the most clueless manner possible, dropped a bombshell on the audience. He read a memo received from Material Matters to NBMA that stated that the Hower Rd farm might be used as a research facility for the land application of biosolids. He elaborated that not much is known about the practice, and he personally has envisioned something like this "for years". If more is known, the practice would be more accepted. In making this statement, Chairman Kornos was incredibly admitting what all the concerned citizens in the audience know - there are many unknowns. Why would any resident want to be involved in such an experiment, and why would they want to take part in making the practice more accepted?
It is important to note that Trudy Johnston, the Managing Director of Material Matters, is the Mid-Atlantic Queen of Biosolids. She is a long time Board member of the Mid-Atlantic Biosolids Association (MABA), and she readily would tell you that she actively encourages the land use of biosolids. The President of MABA is a Synagro official, and a Waste Management Inc official is another Board member. Ms. Johnston was hired by Plainfield Township as a consultant during the failed Synagro proposal from 2016 to 2019. One nugget dropped, pun not intended, by Ms. Johnston during that time was that Class B biosolids "can be much more odorous than Class A."
The following statements are self explanatory. The theme is that the Hower farm was the highest risk option that NBMA could have chosen, and is an inappropriate solution for sludge disposal ("beneficial use" according to DEP). NBMA has multiple options that would be far better.
"At a cost of $200k a year – you
could dispose of your 800 to 1000 wet tons of sludge annually in a landfill for
a couple hundred years with the profit off of your current farm that you obtained
in 2000 by eminent domain and sold for $53.1 million. This October 21 Material Matters document
shows that you could also have it hauled away for $70-80 a wet ton, which would
cost only $80,000 a year.
You stated at the November
meeting that you do not plan to expand capacity. What are you going to do with this windfall, off
a piece of land that just passed the 21-year holding requirement for
land obtained through eminent domain?
At last month’s meeting, when questioned about the sale, the Chairman
smiled and said “that’s business.” But
NBMA is a municipal entity – not a for-proft company. The 2020 Annual DEP report on your farm
shows that the cumulative lifetime metals content is not anywhere near the
maximums allowed, so why did you sell it?
It seems that ethically such a taking should not be done lightly, and
not for a short term benefit. As a
municipal entity, your main purpose is to protect the health, safety and
welfare of citizens. I would
respectfully suggest this should not be at the cost of negatively impacting
another community’s citizens, and reaping an obscene financial reward in
the process.
Plant Manager Minnich and his
wife signed petitions against the proposed Synagro Sludge Plant. They are not near fields where the product
would be spread, so they were likely concerned about being behind trucks
hauling sludge to and from the plant.
This proposal is far worse, since sludge not only be trucked in,
but it will be stockpiled, spread and allowed to outgas to the air.
NBMA Solicitor Pierce – has
represented one or more families who preserved land in the immediate vicinity
of the Hower property. Represents both
the NBMA and Nazareth
Borough. Represented both the buyer and
seller of the Hower Farm. Prior to the
closing, Nazareth Borough officials were asked if they knew about a piece of
property being purchased, and said no.
One would assume between the Solicitor and possibly a liaison to this
Board, that the Borough would know about the pending purchase of this property. This purchase was kept a secret.
During a recent site visit, it
is my understanding that a NBMA Board member referred to a concerned neighbor
of the Hower Rd
farm as “the opposition”. This is the
kind of comment that would expected from a project manager of a for-profit
nuisance business. I would submit that
she is your neighbor. As a
municipal entity, not a private business, you should hold this citizen’s
health, safety and welfare as the highest priority, and not see her or any of
your new neighbors as an enemy. In light
of the facts of this case, I submit that you will be dealing with a lot of
concerned citizens, both neighbors and Plainfield Township
officials. You should act to work in
their interests, not against them.
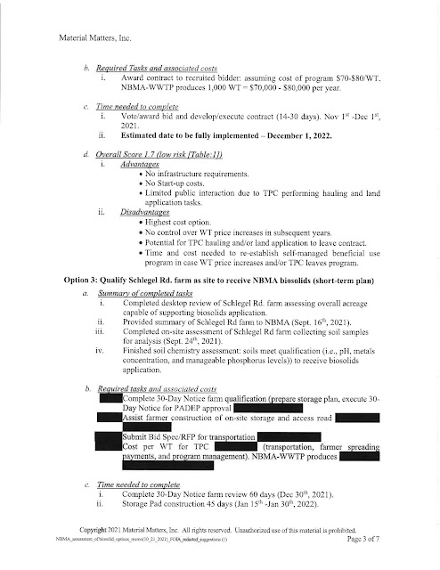
Material Matters memorandum – public
opposition, three options. This memorandum I found confusing, and it
angered me. It rates Public Opposition
to Biosolids on the Hower farm a 4 on a scale of 1 to 5, with 5 being highest
opposition. Trudy Johnston of Material
Matters, would know very well as a former consultant that public opposition in Plainfield Township would be a 10 on a scale of 1
to 5 – off the charts. Of the three
options, Hower farm rated the highest in risk, a 2.8. The lowest scored 1.7 and the other scored
2.7.
With $53 million in the bank,
and other lower risk options available, it makes absolutely no sense at all to
me why you would pursue the highest risk solution.
Contradictions in comments last
month. Will build a storage building, don’t
need a building; other generators won’t dump sludge, other generators may dump
sludge. You don’t have a definite plan
and you apparently don’t have a farmer.
In the memorandum the Hower Farm scored well for having a farmer
experienced with biosolids – the farmer of your current property. But I am aware that you have in fact approached
a farmer inexperienced with sludge to farm the property. You bought a property with a stream through
it – where is that scored in the memorandum?
Nothing here makes sense.
At the November meeting,
Chairman Fornos stated everything will satisfy DEP, implying there is no
risk. Here is a sample of DEP’s recent
screw-ups / shenanigans, that had significant consequences. Slate Hills Quarry (DEP issued permit, ground
water became permanently contaminated), Buzzi Unicem (sinkholes, loss of Rt 33
bridges, which will have to replaced again), proposed Synagro plant (directed
Synagro to apply for a General Permit to allow for similar plants across PA,
announced they would waive a waterway obstruction permit to cover their lack of
oversight years earlier, conspired to keep Township officials out of a critical
meeting).
Why aren’t farmers lining up to
use this stuff? If they were, you
wouldn’t be taking or buying property.
No Class B biosolids are being used as fertilizer anywhere in Plainfield Township, Rinaldi is the only farmer
currently using Class A. You could pay
farmers $40 a wet ton, which would more than cover the cost of the fertilizer
they will have to supplement the biosolids with, and they would come out far ahead
compared with not using biosolids. But
no one is taking this deal – and there is a reason. No one knows what is in it, and it varies
greatly in what is contains. You are
applying 2.1 to 3.3 dry tons per acre to your field, or roughly 15 wet tons per
acre. To pay to haul that away at $80
per ton costs $1200, to landfill maybe $2000 or more. A farmer pays $40 to $160 per acre for
fertilizer.
You were reportedly warned by someone in
your organization that this would be a mistake.
Plainfield Twp spent $210,000 to protect our environment in the Synagro
saga. We have a landfill that refuses to
go away now that it has expanded to the limits of the land we have zoned for
solid waste. We have been trying to
finalize plans for a park pavilion building that would be sited adjacent to
this property. Wetlands and a tributary
to a HQ water quality creek, already impaired, runs through this property. If you had contacted us prior to purchase, we
could have discussed these and other issues with you.
Our Board of Supervisors
Solicitor Backenstoe stated to a concerned resident at our December meeting (paraphrased):
rest assured the township we will do everything possible at the earliest stages
if this moves forward, including potential litigation. You may have a war chest of $53 million, but
we have ample funds to get us through a battle.
We (literally) don’t need this
crap."
3. Patricia Meckler lives adjacent to the site and read the following statement:
I bought a lot in 1994 from the Howers, and built a house
with my husband in 1995. The Howers were
selling road frontage lots. This lot has
beautiful views and is adjacent with many preserved farms, the Plainfield
Farmers Fair and within a few tenths of a mile of athletic fields at Plainfield Park.
It was extremely disturbing and shocking to hear the Hower
farm was sold to the Nazareth Borough Municipal Authority and their plan was to
spread biosolids on a preserved
farm. This also blindsided the Plainfield
Township Board of Supervisors and this is wrong on so many levels.
The township, county and state pay a lot of money to
preserve these farms and a municipal sewer authority should not be allowed to
use this as their disposal site. This
was not the intent of the Farmland Preservation Program. The Authority made $53.1 million selling
their land for a warehouse, they should have found a commercial property
without adjacent homes, our beautiful homes are right on top of this farm.
Also this property is very hilly and sloping and has many
wet areas. When we have inches of rain
there are streams running through this property, down towards the Leiser farm,
into their ponds and small streams and then the Little Bushkill Creek, which
our township has spent a lot of time and money conserving.
The Hower farm is adjacent to the Plainfield Township
Farmers Fair and within a few tenths of a mile where thousands of kids play
organized sports. Biosolids are
concentrated toxic chemicals and also contain pathogens such as E. coli,
salmonella, bacteria and viruses. How
can a sewer authority think that it is okay to spread biosolids near homes,
athletic fields and a farmer’s fair when windborne pathogens can travel in a
6-mile radius and this will put our health and lives at risk?
All of us surrounding this farm and most of Plainfield Township have well water. We have no access to a public water
system. Spreading sewage sludge contributes
to contamination of groundwater, well water, crops and finished products such
as milk. NBMA should have selected a
property with a public source of water – we do not have that.
Also, Hower Rd
is windy and hilly and has limited sight-lines, and it is not suitable for
truck traffic. Also, if biosolids are
spread on the fields, there will be deposits on the roads as trucks and
tractors leave these fields, this product will end up on our roads, our cars
will drive over these biosolids and they will end up in our garages and
homes. This is disgusting and unhealthy.
There were many good and interested people that wanted to
buy the Hower farm, but it was grossly overpriced and a shady, secretive deal
with the Nazareth Borough Municipal Authority was the result and it was
extremely unethical.
You should consider selling it back to all of us because we
do not want to see our neighborhood and quality of life destroyed.
Patti Meckler
4. Tony Borger identified himself at Chairman of the Plainfield Township Recreation Board, stated that he was making comments on behalf of only himself as a resident, and read a statement:
"Members of the Municipal Authority,
I’m here before you all to continue to voice my concerns
about this Hower Farm sewage sludge disposal project. I ask for you to
reconsider the due not only to its location directly adjacent to residential
homes, but also due to its proximity to our township’s recreation facilities of
Achenbach’s Grove and the Plainfield
Township Community
Park at Kesslersville.
As a homeowner, we all invest our hard earned money in our
properties with the idea of living a comfortable life with our children and our
neighbors. We all have the common goal of community. To do no harm to our
neighbors and have them do no harm to us. It’s a basic principlek we all
grew up with, passed down from our parents and grandparents. Do no harm.
Our recreation facilities have been set aside by local,
county and state funds to be a place for local residents in our community to
visit and enjoy the outdoors. To get an enjoyable walk in, to let our
children play on the play ground, and to just get some fresh air and
relax.
The facilities are also home to the Plainfield Township Farmers Association,
who host the annual Plainfield Farmers Fair. Each year, the 5 day event
brings in a couple thousand people from far and wide to enjoy the livestock,
craft fair, baking contest, outdoor concerts and the popular Demolition Derby
and Truck and Tractor Pulls. If you’ve never been to it, I recommend
it. But do it quickly, because once the sludge operation begins, who
knows how much longer this event will be around.
What isn’t mentioned in your Material Matters Memorandum
about the Hower Farm property is its proximity to the Plainfield Township
Community Park.
The park is home to several organizations who help maintain it. The Wind
Gap Athletic Association soccer program, the Faith Christian School Soccer
teams, Junior Knights Baseball program, just to name a few. The potential
impact to these programs because of this careless proposal sends waves across
the community. How can they put on youth programs if the air is ripe with
sewage odor.
The investment in these properties over the years for the
expressed purpose of recreation comes from local money, county money and even
state money. All that invested funding for outdoor recreation is now ready
to be forfeited if we continue down this path.
At the last municipal authority meeting you were quoted as
saying “this is just good business”. I challenge that statement.
You see, you are not a business. You have no customers, per se. You
get to determine who must pay you for disposal of their waste. I’d say
that’s more like a monopoly. But regardless, I go back to a phrase I used
earlier. “FIRST, DO NO HARM”. Some of our most ethical professions
use that phrase, attributed to the Greek Physician Hippocrates.
The members of your board were put in a unique
position. From what I understand, you inherited a property that was taken
from your neighbors by eminent domain 20 years ago. When Mr. Chrin
decided to put an interchange and warehouse farm adjacent to that property, you
made out like bandits to the tune of $50M, or more, on property you took
because you “needed it.”
That property was the perfect location. A mile from
the nearest home down-wind. You also noted at the last meeting how great
the application was and that you never had any neighbors complain about
odor. Well, it’s pretty hard to find neighbors to complain when there
aren’t any.
So after making that $50 million dollars on the sale of the
property, you all have an opportunity to “do no harm”. To use that $50
million dollars responsibly for your Municipal Authority, but also ethically,
do no harm with that money in your new plans to dispose of your sludge.
Just on the interest alone, it would be simple to contract
disposal of that waste in a landfill for well beyond any of your years sitting
in those chairs.
Another option would be to support your local cement
company, the backbone of the history of the Nazareth area.
I quote from an article from the publication Science Direct:
“Furthermore, with its chemical
composition, sewage sludge represents a potential source of raw materials for
clinker production, thus limiting the demand for natural fossil fuels. As
results show from previous studies in this area, specific conditions of
incineration in cement kilns allow for maintaining emission standards and
process requirements for the production of clinker.”
https://www.bioenergyconsult.com/sewage-cement-industry/
https://www.sciencedirect.com/science/article/abs/pii/S1364032106001195
https://www.osti.gov/servlets/purl/1064407
You would think with all the cement kilns in the area and
rising costs of fuel, not to mention the push against climate change, this
option would have made the Material Matters publication.
But instead, you chose Option 1. Be damned the people
of Plainfield Township. Be damned the property
values of the residents down-wind of the Hower Farm.
Our houses are our biggest assets. It’s the one thing
we invest in that we can leverage for our own well being when we grow old and
hopefully have some left over when we pass an inheritance to our
children. With this decision, you’ll likely reduce personal property
value of your new neighbors by almost as much as you paid for the Hower
Farm. These families’ homes will become impossible to sell with sewage
sludge applications taking place in their backyards.
I ask, would you want that done to you? By a group of
people who had so many other choices that would do no harm?
I ask you to reconsider. It’s not too late. Be
responsible. Do the moral and ethical thing. DO NO HARM. Be
responsible to the community and do good with a $50M dollar gift Mr. Chrin gave
to you.
When you lay your head down on the pillow tonight, let that
phrase echo in your mind.
DO NO HARM.
Thank you.
Tony Borger
5. Rich Uliana Lives adjacent to the property. Mr. Uliana had a question - he asked "if this stuff is safe, explain to me why if I sell my property, I have to fill out a disclosure stating that this has been applied adjacent to my property, and in the process reduce my property value. I'm going to go ahead and sit down because I don't believe any of you have an answer." Board Solicitor Al Pierce, who was rather belligerent and raised his voice multiple times during the public comment period, doubted this was true. Mr. Uliana stated that he would forward evidence it is the case to the Board.
edit 12/25 Here is the proof, from the PA Association of Realtors Seller's Disclosure. Come on, Mr. Pierce. A good attorney would know not to admit he isn't aware of something like this.
6. Dorothy Williams Ms. Williams lives immediately downstream of the runoff of the site, and receives heavy stream and surface flow associated with storm and winter melt. She expressed concern that in her senior years, her house is her greatest asset, and when the proposed use destroys her property's value she does know what she will do.
7. Jason Lewis Mr. Lewis, having listened to the previous speakers, several of whom questioned the wisdom of the Authority's plan, asked how many of the Board members were familiar with the property and understood how sloped it is, prior to deciding to purchase it. No Board member responded.
Follow up comments
Ms. Meckler observed that the spreading of sludge on preserved farmland, as proposed, is inconsistent with the purpose (and legally binding deed language) of the preservation of farmland in perpetuity - forever. Mr. Moore put a finer point on this, pointing out that the steady buildup of metals and pollutants such as PFAS in biosolids in the soil never goes away - which mean use of the land for agricultural purposes is being degraded. This is antithetical to the goal of the Farmland Preservation Program as Ms. Meckler stated.
Observations
It should be noted that most Board members appeared somewhat nonplussed throughout the public's comments. One wonders if they were led down this path by one or two members who cast this plan as a good idea. The public was allowed to speak as long as it wished, which was acknowledged and appreciated by multiple attendees. They were treated with respect, with the exception of one individual on the dais.
As multiple speakers addressed, NBMA is flushed with cash, so to speak. Riches beyond most municipality's imaginations, and NBMA is a municipal entity. Mr. Borger's exhortation that NBMA should "DO NO HARM" is perfectly stated. Why in the world would they foist this operation on Plainfield Township, and its residents? There is obviously significant cost in biosolids disposal, but NBMA has far more assets than it seems likely to need. Is this an uninformed choice, pedestrian greed, or could it be something more insidious - such as a conspiracy between parties who are interested in increasing the "beneficial use" of biosolids across the state? Could choosing a property with a HQ creek tributary through the bottom of it have been intentional, and not just an apparently ill-conceived choice? To make it easier to defend applying biosolids near surface waters in the future?
 |
| What is real? |
Memorandum from Material Matters to NBMA,
rating the risk of three options for disposal of NBMA's sludge
NBMA Plant Manager Dean Minnich and his wife live in Pen Argyl, a half mile from the location of the proposed Synagro sludge drying plant. They signed a petition objecting to the plant, and Mr. Minnich also as a Council Member voted along with Pen Argyl Council in objecting to the proposal.